Použití FTIR pro detekci mikrobiální kontaminace během výroby mikrobiálních produktů

- Foto: Shimadzu: Použití FTIR pro detekci mikrobiální kontaminace během výroby mikrobiálních produktů: Obrázek 4: IČ spektra
- Video: Shimadzu Scientific Instruments: Overview and Introduction of the Workhorse IRXross FTIR Spectrometer
Přínosy pro uživatele
- Tuto techniku lze použít k detekci mikrobiální kontaminace ve výrobním procesu mikrobiálních produktů.
- Příslušenství pro difúzní odraz a "microfocuse" destička umožňují efektivní měření více vzorků.
- Doba analýzy přibližně 30 sekund na vzorek umožňuje velmi rychlé dokončení analytických úloh.
Úvod
Výrobu mikrobiálních produktů lze shrnout do pěti kroků znázorněných na obr. 1. Nejprve jsou zásobní mikrobiální buňky rozmrazeny (aktivace), poté předkultivovány (v malém objemu média), následně kultivovány ve fázi expanze (ve velkoobjemové kultuře), sklizeny a nakonec dále zpracovány tak, aby vznikl finální produkt vhodný pro komerční prodej. Mikrobiální kontaminace tohoto výrobního procesu má však zásadní vliv na kvalitu a bezpečnost produktu, a proto musí být detekována rychle a přesně.
Infračervená spektrofotometrie s Fourierovou transformací (FTIR), analytická technika určená ke charakterizaci molekulární struktury analytů, si získala pozornost zejména díky své účinnosti při identifikaci mikroorganismů. Infračervená spektra zaznamenaná FTIR analýzou mikroorganismu obsahují informace o lipidech, polysacharidech, proteinech, sacharidech a dalších molekulárních složkách daného mikroorganismu¹), které lze využít k monitorování mikroorganismů kultivovaných za pevně daných podmínek (stejné kultivační médium, teplota a čas).
V této aplikační poznámce byl FTIR systém IRXross (obr. 2) kombinován s příslušenstvím pro difúzní odraz DRS-8000 a použit k detekci mikrobiální kontaminace během výroby mikrobiálních produktů.
Příprava vzorků
Vzorky byly pro analýzu připraveny následujícím postupem. Pro každý vzorek byly připraveny a analyzovány tři body.
- Celý kultivační roztok byl odstředěn v centrifugační zkumavce a supernatant byl odstraněn.
- Vzniklá sraženina byla promyta přidáním fyziologického roztoku a centrifugací směsi při laboratorní teplotě.
- Po opětovném odstranění supernatantu byla ke sraženině přidána ultračistá voda a směs byla intenzivně protřepána. Následně byl přidán ethanol na konečnou koncentraci 70 %.
- Byly přidány zirkoniové kuličky a směs byla homogenizována za vzniku suspenze.
- Následně bylo 5 µL zředěného roztoku z kroku (4) naneseno do "microfocuse" destičky (64 jamek) a usušeno.
Shimadzu: Obr. 1 Výrobní proces mikrobiálního produktu
Podmínky analýzy a zpracování dat
Podmínky použité pro FTIR analýzu jsou uvedeny níže. Analýza byla provedena metodou infračervené spektroskopie s Fourierovou transformací s difúzním odrazem (DRS), která nabízí výhody v podobě analýzy více vzorků a snadného čištění vzorků. FTIR systém byl navíc plně proplachován dusíkem, aby se snížil vliv atmosférické vodní páry a oxidu uhličitého na analýzu.
Shimadzu: Obr. 2 IRXross
Infračervená spektra byla zaznamenána pomocí automatizovaného softwaru pro DRS měření (obr. 3). Jako předzpracování infračervených spekter byla provedena druhá derivace (Savitzky-Golayův filtr), výběr spektrální oblasti (1300 až 800 cm⁻¹) a normalizace na jednotkový vektor. Takto upravená data byla následně analyzována pomocí analýzy hlavních komponent (PCA) a shlukové analýzy (vyhodnocené metodou průměrů).
Shimadzu: Obr. 3 Automatizovaný software pro měření DRS
Podmínky FTIR analýzy
- Přístroj: IRXross s difúzním odrazem DRS-8000 (zakázkový model)
- Rozlišení: 4 cm⁻¹
- Počet průměrovaných skenů: 20
- Apodizační funkce: SqrTriangle
- Detektor: DLATGS
- Proplach: Dusík
Mikrobiální kultivace
Experimenty byly provedeny s grampozitivní bakterií Staphylococcus cohnii, kmen ATCC 29974 (S. cohnii), jako produkčním mikroorganismem a s Escherichia coli, kmen ATCC 700926 (E. coli), jako kontaminujícím mikroorganismem. Kultivační roztok E. coli byl přidán do kultivačního roztoku S. cohnii v koncentračních poměrech od 1 % do 1,0 × 10⁻⁶ % (podíl E. coli) a vzorky byly společně kultivovány za aerobních podmínek (37 °C, 24 hodin).
Detekce kontaminace
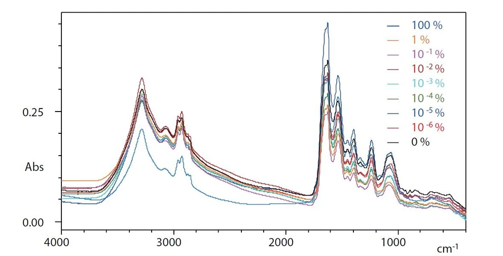
Infračervené spektrum každého kultivačního roztoku je znázorněno na obr. 4. Stejná spektra zpracovaná pomocí druhé derivace jsou uvedena na obr. 5 v oblasti 1300 až 800 cm⁻¹.
Shimadzu: Obr. 4 Infračervená spektra
Shimadzu: Obr. 5 Spektra druhé derivace
Infračervené spektrální profily na obr. 4 se jeví velmi podobné, zatímco spektra druhé derivace na obr. 5 odhalují některé výrazné rozdíly. Obr. 6(a) ukazuje dendrogram získaný shlukovou analýzou spekter druhé derivace. Dendrogram vykazuje pět shluků na základě výchozí koncentrace E. coli: monokultura E. coli, S. cohnii kontaminovaná E. coli v rozmezí 1 až 10⁻¹ %, S. cohnii kontaminovaná při 10⁻² %, S. cohnii kontaminovaná při 10⁻³ až 10⁻⁴ % a S. cohnii kontaminovaná při 10⁻⁵ až 10⁻⁶ %. Pět skupin bylo rovněž identifikováno pomocí PCA analýzy (obr. 6(b)).
Shimadzu: Obr. 6 Výsledky analýzy dat (a) Shluková analýza (dendrogram), metoda shlukování: průměry, vzdálenostní stupnice: euklidovská
Shimadzu: Obr. 6 Výsledky analýzy dat (b) Analýza hlavních komponent (score plot)
Uvedené výsledky ukazují, že tato technika nemusí být schopna detekovat velmi nízké výchozí koncentrace E. coli (10⁻⁵ až 10⁻⁶ %), nicméně byla schopna detekovat kontaminaci E. coli při výchozích koncentracích 10⁻⁴ % a vyšších.
Složení bakterií po společné kultivaci
Poměr S. cohnii a E. coli ve vzorcích po 24hodinové společné kultivaci byl stanoven pomocí real-time PCR za použití bakteriálně specifických primerů genů domácího metabolismu v jedné kopii. Konečné poměry obou bakterií byly určeny pomocí kalibrační křivky připravené z Ct hodnot při známých koncentracích kontrolní DNA.
Při výchozích koncentracích 10⁻² % a vyšších rychleji rostoucí E. coli převládla nad S. cohnii a tvořila větší podíl konečného složení (obr. 7). Vzhledem k tomu, že samostatné shluky se vytvářely při koncentracích nad 10⁻⁴ %, obr. 7 ukazuje, že FTIR dokáže detekovat kontaminaci při koncentracích E. coli v rozmezí 15 až 27 %.
Shimadzu: Obr. 7 Složení bakterií měřené pomocí real-time PCR
Závěr
Infračervená spektroskopie s Fourierovou transformací s difúzním odrazem (DRS) byla použita k detekci kontaminace kultury S. cohnii jiným bakteriálním druhem (E. coli).
Všechny vzorky byly úspěšně a efektivně analyzovány pomocí FTIR systému plně proplachovaného dusíkem v kombinaci s příslušenstvím pro difúzní odraz DRS-8000. Shluková analýza a analýza hlavních komponent spekter druhé derivace (Savitzky-Golayův filtr) navíc identifikovaly kontaminaci E. coli, která nebyla patrná při jednoduchém porovnání infračervených spekter.
Real-time PCR analýza byla rovněž použita k určení rozsahu podílů kontaminující a nekontaminující bakterie, které lze touto FTIR technikou identifikovat. Technologie popsaná v této aplikační poznámce umožňuje rychlé monitorování kontaminace, což má potenciální praktické využití při výrobě bakteriálních produktů.
Lasch, P.; Naumann, D.: Infrared Spectroscopy in Microbiology. Encyclopedia of Analytical Chemistry, 3: 1–32, 2015.




